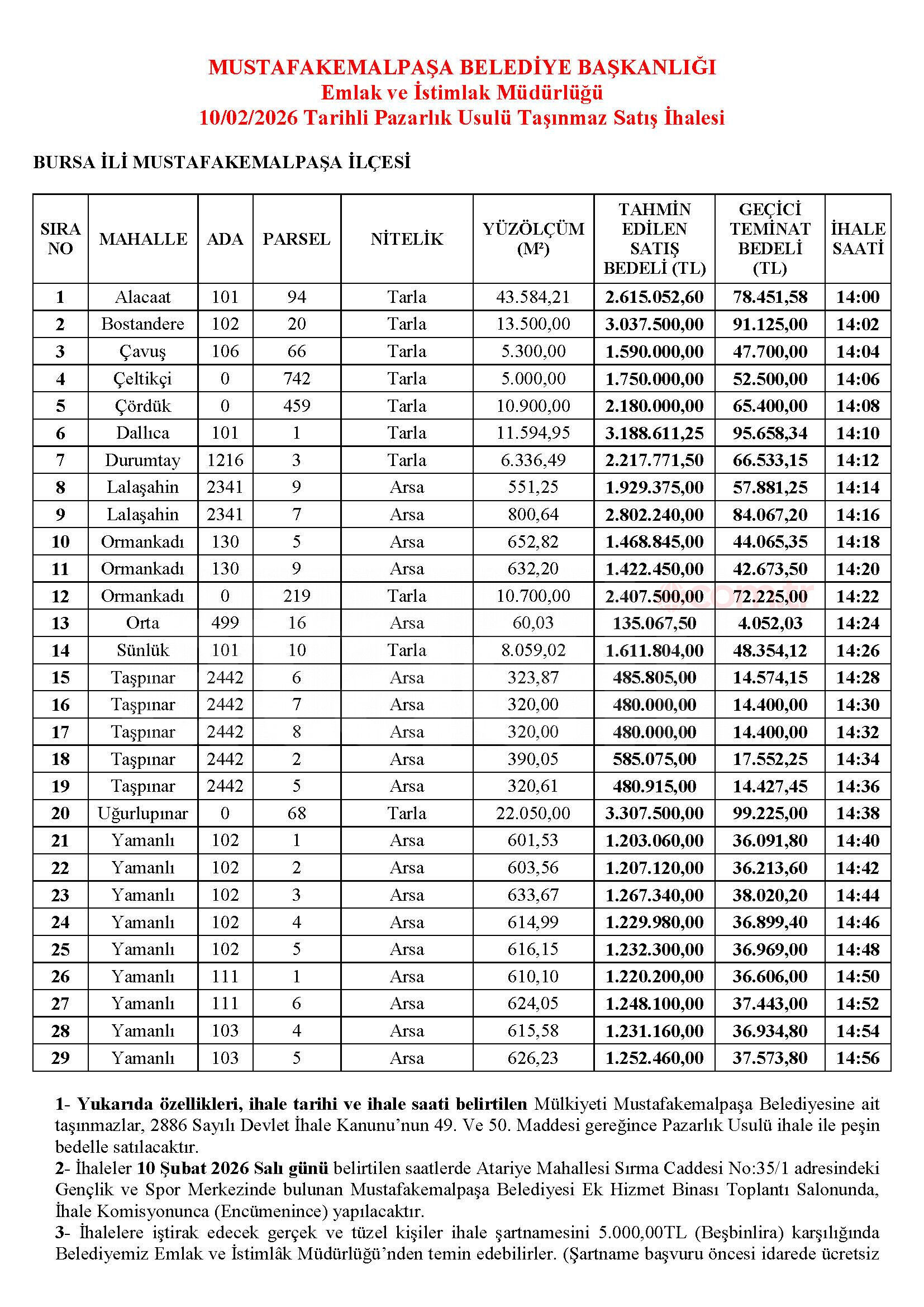
10 Şubat'ta gerçekleşecek Pazarlık Usulü Satış İhalesi ile ilgili bilgiler:


17 Şubat'ta gerçekleşecek Açık Teklif Usulü Kiralama İhalesi ile ilgili bilgiler:


10 Şubat'ta gerçekleşecek Pazarlık Usulü Satış İhalesi ile ilgili bilgiler:


17 Şubat'ta gerçekleşecek Açık Teklif Usulü Kiralama İhalesi ile ilgili bilgiler:

