Mustafakemalpaşa’da Korkutan Yangın: Yaşlı Çift Son Anda Kurtarıldı
Mustafakemalpaşa’da Korkutan Yangın: Yaşlı Çift Son Anda Kurtarıldı
İçeriği Görüntüle

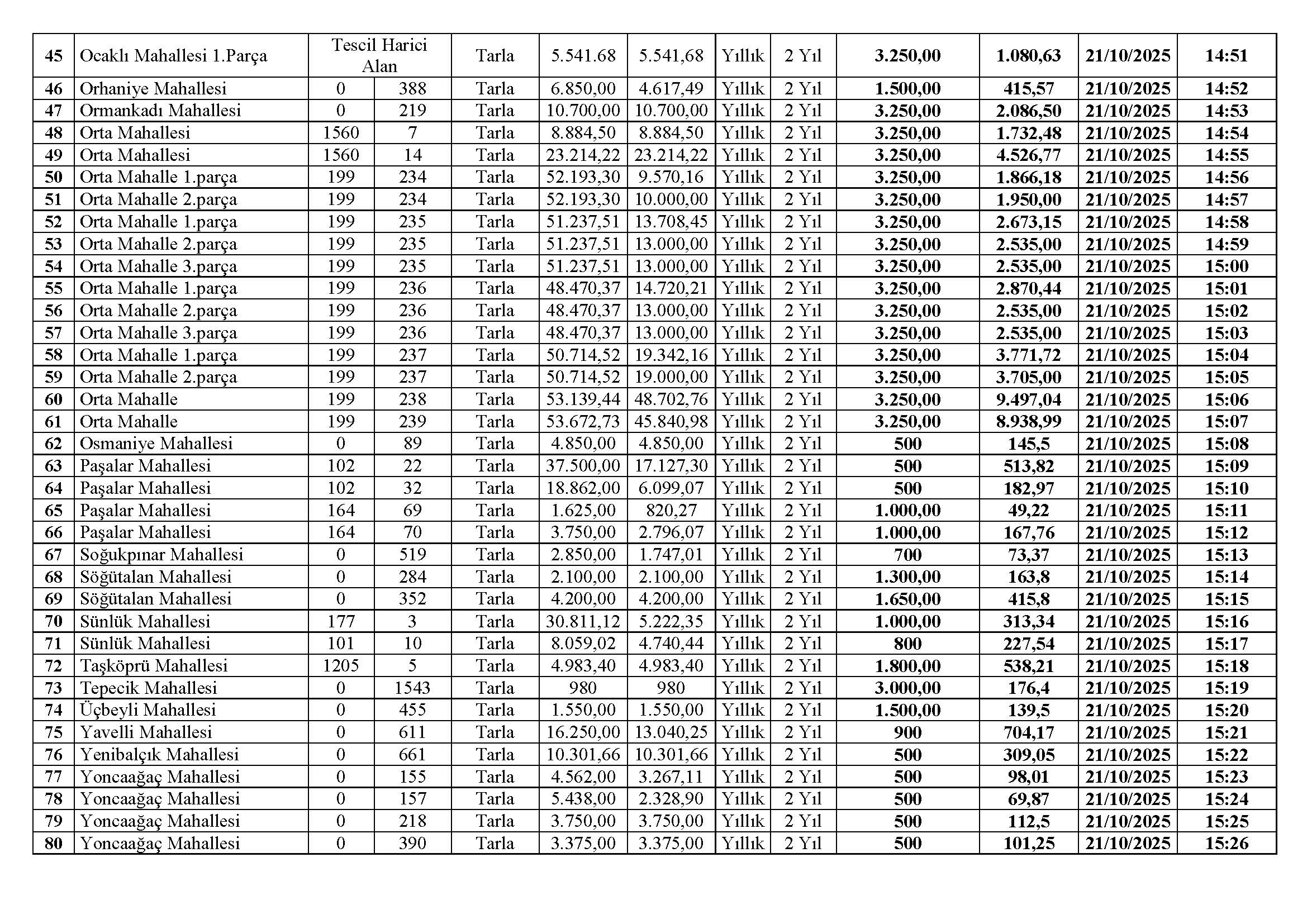
21 Ekim'de gerçekleşecek Pazarlık Usulü Taşınmaz Kiralama İhalesi ile ilgili bilgiler:

Kiralama Ihale Ilan Metni 21 10 2025 (Pdf)1760604397 Sayfa 1Kiralama Ihale Ilan Metni 21 10 2025 (Pdf)1760604397 Sayfa 2Kiralama Ihale Ilan Metni 21 10 2025 (Pdf)1760604397 Sayfa 3Kiralama Ihale Ilan Metni 21 10 2025 (Pdf)1760604397 Sayfa 4