CHP İl Başkanı Yeşiltaş Yarın Mustafakemalpaşa’da: Gözler Tartışmalı Kararda
CHP İl Başkanı Yeşiltaş Yarın Mustafakemalpaşa’da: Gözler Tartışmalı Kararda
İçeriği Görüntüle

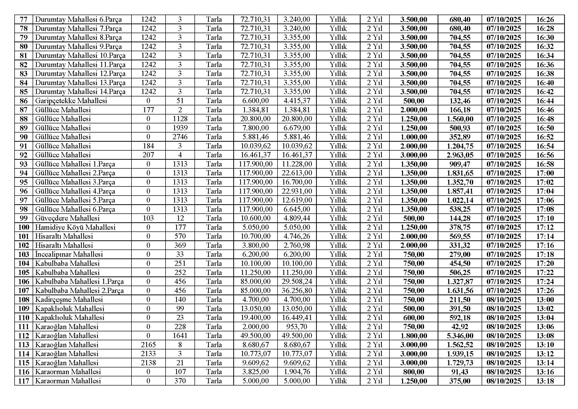
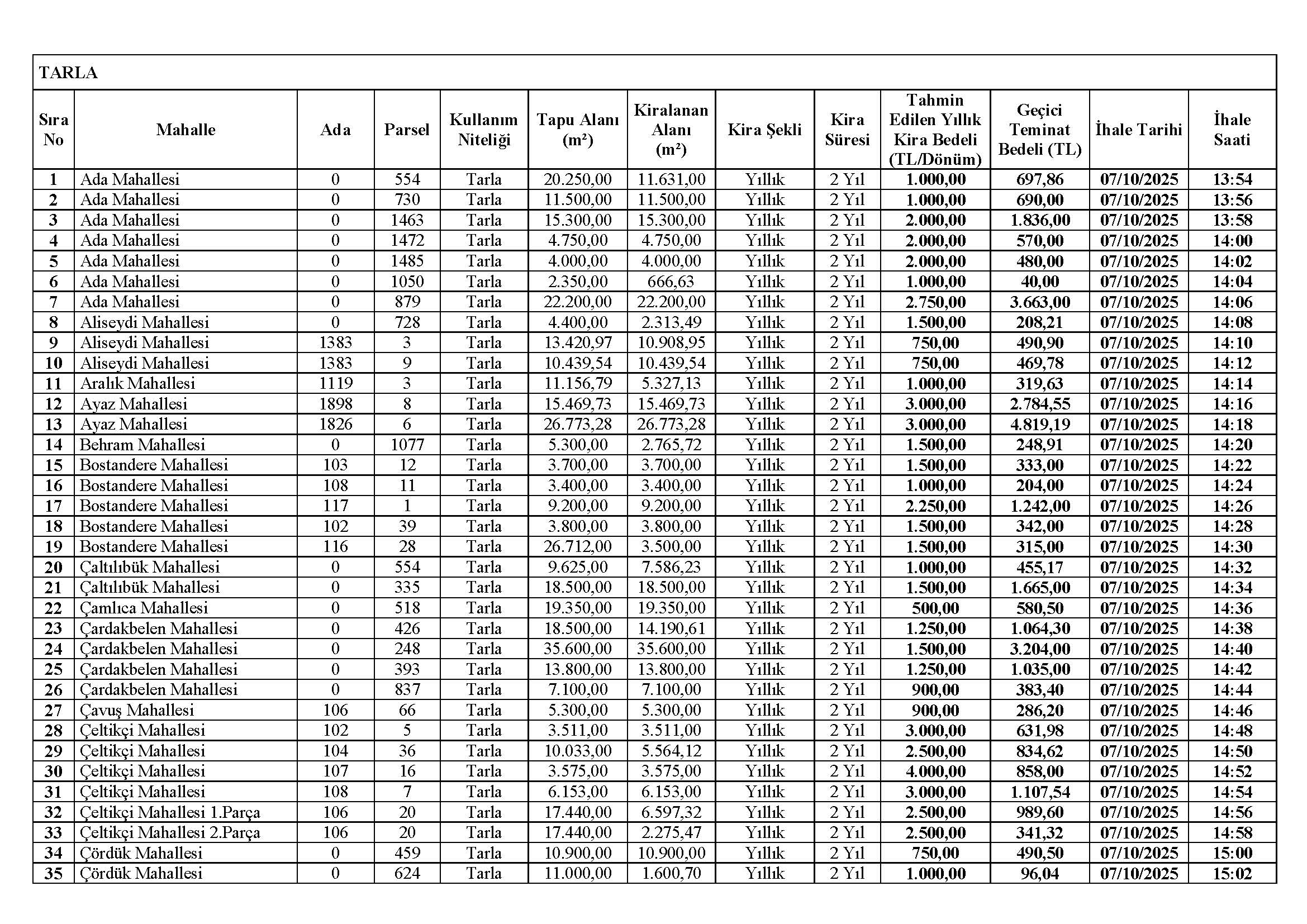
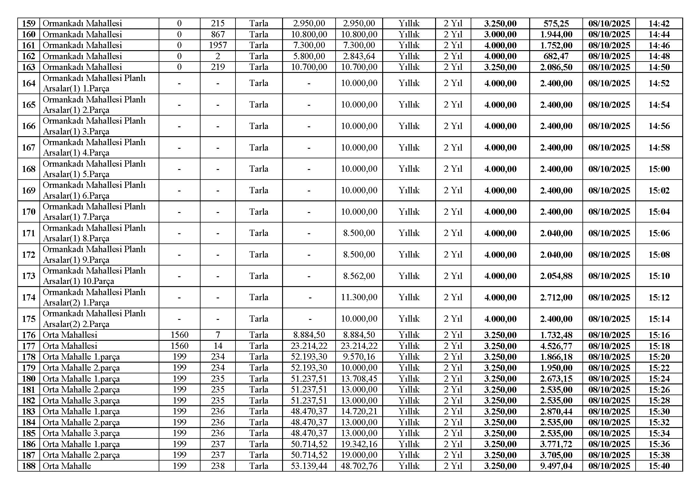
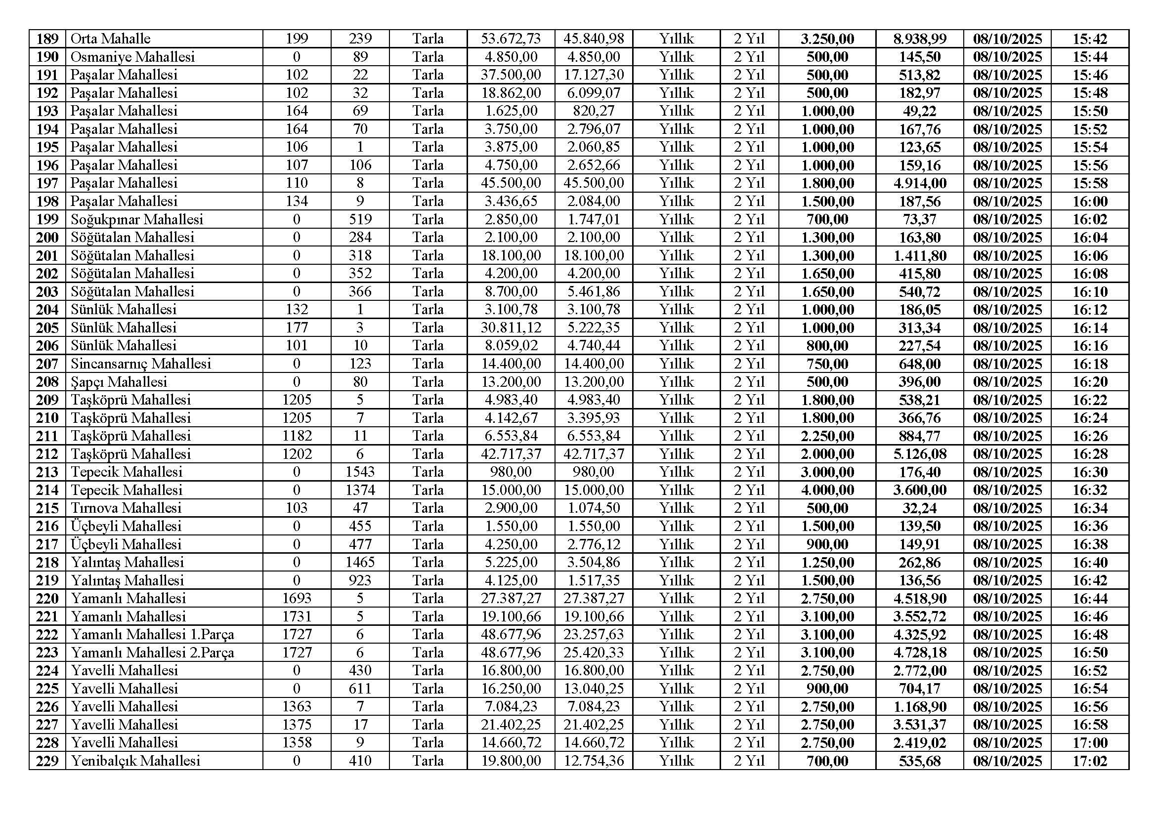
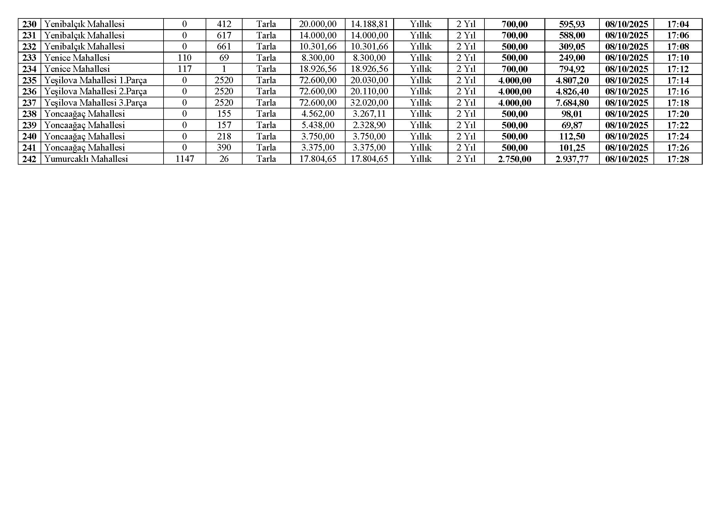
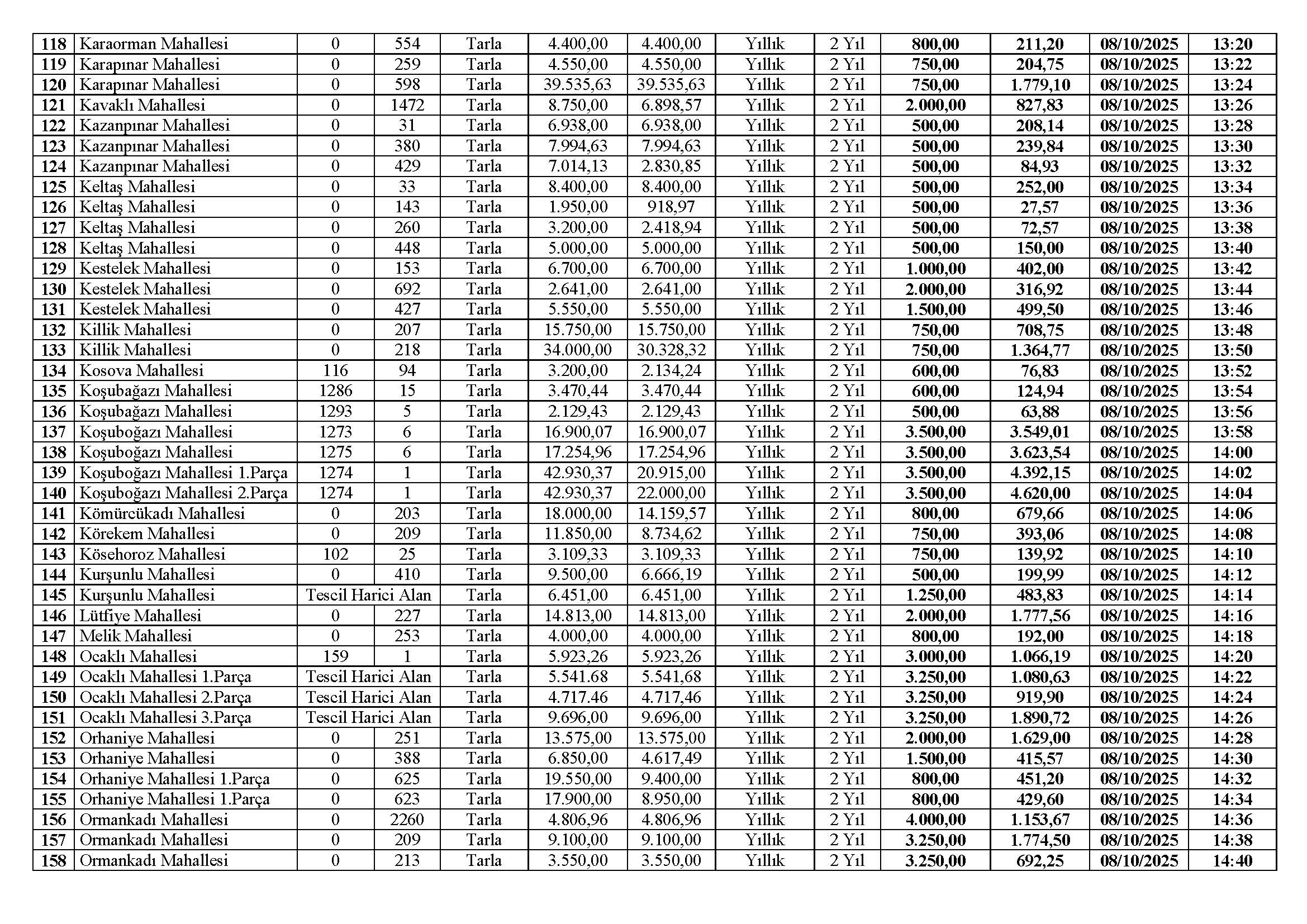
7 ve 8 Ekim'de gerçekleşecek Açık Teklif Usulü Taşınmaz Kiralama İhalesi ile ilgili bilgiler:

Kiralama Ihale Ilan Metni (07 08) 10 2025 (Pdf)1758259349 Sayfa 01Kiralama Ihale Ilan Metni (07 08) 10 2025 (Pdf)1758259349 Sayfa 02Kiralama Ihale Ilan Metni (07 08) 10 2025 (Pdf)1758259349 Sayfa 03Kiralama Ihale Ilan Metni (07 08) 10 2025 (Pdf)1758259349 Sayfa 04Kiralama Ihale Ilan Metni (07 08) 10 2025 (Pdf)1758259349 Sayfa 05Kiralama Ihale Ilan Metni (07 08) 10 2025 (Pdf)1758259349 Sayfa 06Kiralama Ihale Ilan Metni (07 08) 10 2025 (Pdf)1758259349 Sayfa 07Kiralama Ihale Ilan Metni (07 08) 10 2025 (Pdf)1758259349 Sayfa 08Kiralama Ihale Ilan Metni (07 08) 10 2025 (Pdf)1758259349 Sayfa 09Kiralama Ihale Ilan Metni (07 08) 10 2025 (Pdf)1758259349 Sayfa 10